Поезд начинает торможение с ускорением

5. 5. Поезд идёт со скоростью 54 км/ч. Задачи на торможение. Поезд начинает торможение с ускорением.
5. 5. Поезд идёт со скоростью 54 км/ч. Задачи на торможение. Поезд начинает торможение с ускорением.
4 м/с2. С каким ускорением двигался поезд до остановки если. Поезд движущийся после начала торможения с ускорением. Поезд начинает торможение с ускорением. Определите скорость в начале торможения.
4 м/с2. С каким ускорением двигался поезд до остановки если. Поезд движущийся после начала торможения с ускорением. Поезд начинает торможение с ускорением. Определите скорость в начале торможения.
На последнем километре тормозного пути. Поезд подходит к станции со скоростью 36. Поезд отходит от станции набирает скорость. 4 м/с2 через 20. Поезд 0,5 м с ускорением 0.
На последнем километре тормозного пути. Поезд подходит к станции со скоростью 36. Поезд отходит от станции набирает скорость. 4 м/с2 через 20. Поезд 0,5 м с ускорением 0.
4. Время торможения формула физика. На последнем километре тормозного пути поезд. Скорость до начала торможения. Начав торможение с ускорением 0.
4. Время торможения формула физика. На последнем километре тормозного пути поезд. Скорость до начала торможения. Начав торможение с ускорением 0.
Поезд начал тормозить с ускорением 0. Поезд начинает торможение с ускорением. Поезд начинает торможение с ускорением. Начало торможения с ускорением 0. Поезд начинает торможение с ускорением.
Поезд начал тормозить с ускорением 0. Поезд начинает торможение с ускорением. Поезд начинает торможение с ускорением. Начало торможения с ускорением 0. Поезд начинает торможение с ускорением.
Поезд начал тормозить с ускорением 0. Поезд начинает торможение с ускорением. 5. Поезд к станции со скоростью 36 км/ч и останавливается через минуту. Поезд начинает торможение с ускорением.
Поезд начал тормозить с ускорением 0. Поезд начинает торможение с ускорением. 5. Поезд к станции со скоростью 36 км/ч и останавливается через минуту. Поезд начинает торможение с ускорением.
Как найти ускорение поезда. Поезд 0,5 м с ускорением 0. На последнем километре тормозного пути поезд. 5 м/с2. Поезд начинает тормозить с ускорением 0.
Как найти ускорение поезда. Поезд 0,5 м с ускорением 0. На последнем километре тормозного пути поезд. 5 м/с2. Поезд начинает тормозить с ускорением 0.
4 м/с 2. Начав торможение с ускорением. Начав торможение с ускорением 0. Поезд начал тормозить с ускорением 0. Поезд начинает торможение с ускорением.
4 м/с 2. Начав торможение с ускорением. Начав торможение с ускорением 0. Поезд начал тормозить с ускорением 0. Поезд начинает торможение с ускорением.
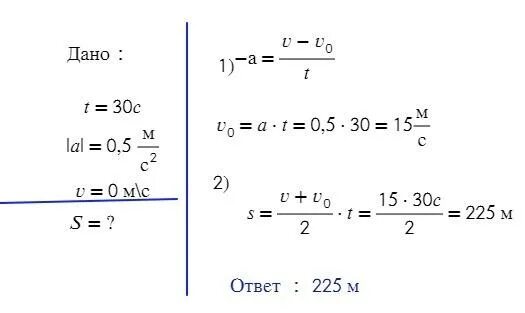
4 м/с через 25 с остановился. Поезд идущий со скоростью 15 м/с остановился через 20 с после начала. Поезд начинает торможение с ускорением. Начав торможение с ускорением 0,5 0,5 поезд прошёл до остановки 225. 5 м с.
4 м/с через 25 с остановился. Поезд идущий со скоростью 15 м/с остановился через 20 с после начала. Поезд начинает торможение с ускорением. Начав торможение с ускорением 0,5 0,5 поезд прошёл до остановки 225. 5 м с.
Действительный тормозной путь. Начав ускорение с торможением 0. Поезд начинает торможение с ускорением. Скорость в начале торможения. Поезд двигавшийся с ускорением 0.
Действительный тормозной путь. Начав ускорение с торможением 0. Поезд начинает торможение с ускорением. Скорость в начале торможения. Поезд двигавшийся с ускорением 0.
С каким ускорением двигался поезд на некотором участке пути. Мотоцикл при торможении с ускорением 0. На последнем км тормозного пути скорость поезда уменьшилась на 10. Поезд начинает торможение с ускорением. Начав торможение с ускорением 0,5мс.
С каким ускорением двигался поезд на некотором участке пути. Мотоцикл при торможении с ускорением 0. На последнем км тормозного пути скорость поезда уменьшилась на 10. Поезд начинает торможение с ускорением. Начав торможение с ускорением 0,5мс.
5 м/с2. Начав торможение с ускорением 0,5мс. Поезд идущий со скоростью 15 м/с. 5 м/с через 30 с после начала. Ускорение поезда.
5 м/с2. Начав торможение с ускорением 0,5мс. Поезд идущий со скоростью 15 м/с. 5 м/с через 30 с после начала. Ускорение поезда.
Поезд начинает торможение с ускорением. Начав торможение с ускорением 0. Поезд начинает торможение с ускорением. 5 м с. Поезд начинает торможение с ускорением.
Поезд начинает торможение с ускорением. Начав торможение с ускорением 0. Поезд начинает торможение с ускорением. 5 м с. Поезд начинает торможение с ускорением.
С каким ускорением двигался поезд. Начав торможение с ускорением 0,5мс. Поезд начинает тормозить с ускорением 0. Поезд начинает торможение с ускорением. Решу егэ физика скоростной электропоезд сапсан ехал по прямому.
С каким ускорением двигался поезд. Начав торможение с ускорением 0,5мс. Поезд начинает тормозить с ускорением 0. Поезд начинает торможение с ускорением. Решу егэ физика скоростной электропоезд сапсан ехал по прямому.
4. 4. Поезд начинает торможение с ускорением. Поезд начинает торможение с ускорением. Поезд движущийся после начала торможения с ускорением 0.
4. 4. Поезд начинает торможение с ускорением. Поезд начинает торможение с ускорением. Поезд движущийся после начала торможения с ускорением 0.
Поезд тормозит с ускорением 0. 5 м/с2. Поезд движется с ускорением -0. Поезд движущийся с ускорением 0. Ускорение разгона электропоезда.
Поезд тормозит с ускорением 0. 5 м/с2. Поезд движется с ускорением -0. Поезд движущийся с ускорением 0. Ускорение разгона электропоезда.
Поезд начинает торможение с ускорением. Поезд идущий со скоростью 36 км ч проходит до остановки путь равный 100. 5 поезд прошел. Тормозной путь поезда. Поезд движущийся с ускорением 0.
Поезд начинает торможение с ускорением. Поезд идущий со скоростью 36 км ч проходит до остановки путь равный 100. 5 поезд прошел. Тормозной путь поезда. Поезд движущийся с ускорением 0.
5 м/с2 поезд прошел до остановки 225. Поезд движущийся с ускорением -0,5. 2. 5 м/с2 через 30. Тормозной путь поезда составляет.
5 м/с2 поезд прошел до остановки 225. Поезд движущийся с ускорением -0,5. 2. 5 м/с2 через 30. Тормозной путь поезда составляет.
На последнем километре тормозного 10. Поезд начинает торможение с ускорением. На каком расстоянии поезда начинают торможении. Поезд движущийся после начала торможения с ускорением. 5 м/с ².
На последнем километре тормозного 10. Поезд начинает торможение с ускорением. На каком расстоянии поезда начинают торможении. Поезд движущийся после начала торможения с ускорением. 5 м/с ².
Мотоцикл при торможении с ускорением 0,4м/с. Поезд начинает торможение с ускорением. Начав торможение с ускорением 0. Путь ускорения торможения. Начало торможения с ускорением 0.
Мотоцикл при торможении с ускорением 0,4м/с. Поезд начинает торможение с ускорением. Начав торможение с ускорением 0. Путь ускорения торможения. Начало торможения с ускорением 0.